Comunicación
      Nº 022

IICVHAPp.gif (9537 bytes)

gbritaip.gif (244 bytes)

IndiceIndice

Fibrosis HR®, una Aplicación de Histo-Videomicroscopía Cuantitativa  para la Valoración Automática de la Fibrosis en Diferentes Órganos. Valoración de Muestras Renales y Biopsias Hepáticas.


Comentarios
[Título] [Introducción] [Material y Métodos] [Resultados] [Discusión] [Bibliografía]

Figuras

 

Áreas Renales Cuantificadas por Fibrosis HR

Figura 1. Áreas cuantificadas automáticamente por Fibrosis HR®, una aplicación de análisis de imagen para la cuantificación automática de la fibrosis intersticial y la morfología glomerular. A: imagen digital de intersticio renal teñido con rojo Sirio. B: áreas de fibrosis intersticial. C: imagen digital de glomérulo renal teñido con rojo Sirio. D: áreas de fibrosis intersticial periglomerular. E: área glomerular. F: área de matriz mesangial. G: área de flóculo glomerular automáticamente umbralizada. H: área de flóculo glomerular total, incluyendo lúmenes capilares y espacio urinífero interno al flóculo. Barra: 35 µm.
.


Figura 2. Áreas cuantificadas automáticamente por Fibrosis HR® en biopsias hepáticas. A: imagen digital de tejido hepático teñido con rojo Sirio. B: áreas de fibrosis perisinusoidal. C: áreas de fibrosis porto-periportal y septal. D: área porto-periportal. E: área más significativa entre las estructuras vasculares y biliares portales segmetadas en la imagen A. Barra: 35 µm.

Áreas Hepáticas Cuantificadas por Fibrosis HR

 

 

 

Figura 3. Distribución de los valores de los parámetros más representativos cuantificados por Fibrosis HR® en biopsias hepáticas agrupadas según los índices de fibrosis de Scheuer (A,C,E) y Knodell (B,D,F).

Distribuciones de Cuantificaciones por Fibrosis HR

MFP: área de fibrosis porto-periportal y septal media por espacio porta; MPFP: porcentaje de fibrosis porto-periportal y septal medio por espacio porta; MAP: área porto-periportal y septal media; *, †, §, #, $, ‡: comparaciones significativas según el test de Newman-Keuls; *: p<0.01 con el estadío 0 ó el grado 0; †: p<0.01 con el estadío 1 ó el grado 1; §: p<0.01 con el estadío 2 ó el grado 3; #: p<0.01 con el estadío 3; $: p<0.05 con el estadío 0 ó el grado 0; ‡: p<0.05 con el estadío 3.


.

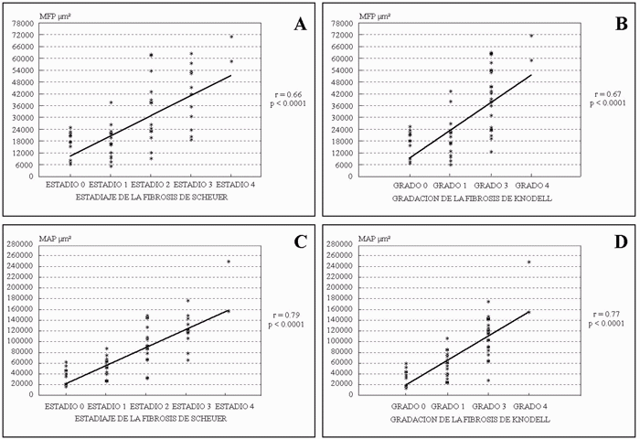
Figura 4: Regresiones lineales y correlaciones entre los parámetros más representativos cuantificados por Fibrosis HR® y los índices de fibrosis de Scheuer (A,C) y Knodell (B,D).

Regresiones lineares de Cuantificaciones por Fibrosis HR

MPF: área de fibrosis porto-periportal y septal media por espacio porta; MPA: área porto-periportal y septal media; r: coeficiente de correlación de Spearman; p: significación de la correlación.

 

[Título] [Introducción] [Material y Métodos] [Resultados] [Discusión] [Bibliografía]


Marco Masseroli, Ph.D.
Copyright © 1996, Departamento de Anatomía Patológica, Facultad de Medicina y Hospital Universitario, Universidad de Granada, 18012 Granada, España. Reservados todos los derechos.